一、资料统计方法和曲线描绘分析《预防医学》

一、资料统计方法和曲线描绘分析

例23.3某单位用甲、乙两法治疗何杰金病。甲法治疗15例中已复发9例;乙法治疗14例,有4例复发。两组随访情况如表23-3。

先以甲疗法为例说明不同随访时期的缓解率及其标准误。演算结果如表23-4。

表23-4 甲、乙两法治疗何杰金病随访天数

甲疗法乙疗法
已复发者尚未复发者已复发者尚未复发者
1411446+505615+
364836+296570+
950498+13751205+
570173+6881726+
3121540+ 1190+
570836+ 822+
173  1408+
401  1493+
86  1645+
   1570+

尚未复发者随访天数后加“+”号,表明缓解天数至少多于随访天数

表23-4 甲疗法治疗何杰金病不同时期缓解率计算

病序(1)随访天数n(2)复发例数r(3)期初病例数R(4)复发概率qx(5)缓解概率px(6)累计缓解概率np0(7)标准误snp0(8)
1861150.06670.93330.9330.064
21411140.07140.92860.8670.088
31731130.07690.92310.8000.103
4173120.00001.00000.800-
53121110.09090.90910.7270.117
63641100.10000.90000.6540.126
7401190.11110.88890.5810.131
8498+80.00001.00000.581
9570
570
270.28570.71430.4150.136
10
11836
836
50.00001.00000.415
12
13950130.33330.66670.2770.145
141446+20.00001.00000.277
151540+10.00001.00000.277-

1.按随访天数从小到大依次排列,如遇复发者天数和未复发者随访天数相同时,以复发者排在前面。

2.填写不同随访天数的复发例数及期初病例数如表23-4的(3)、(4)栏。

3.求出不同随访天数的复发概率qx(复发例数÷期安病例数)和缓解概率px(1-qx)如(5)、(6)栏。

4.根据公式(23.6)求出累计缓解概率np0如(7)栏。

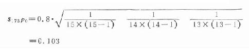
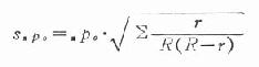
5.按下式求不同时点累计缓解率的标准误。

公式(23.8)

本例173天时点累计缓解率的标准误:

同法可以求得乙疗法的累计缓解率及其标准误,学者试自演算求解。

6.缓解率曲线描绘以横轴为随访天数(n),纵轴为累计缓解率(np0),将两疗法的演算结果各点的坐标准确标出,然后将各点向右连成与横轴平行的阶梯形,得出两组缓解曲线如图23-1。可以看出乙疗法累计缓解率水平始终在甲法之上。

图23-1 甲、乙疗法累计缓解率的比较

上一页:第三节 小样本病例随访资料统计分析
当前页:一、资料统计方法和曲线描绘分析
下一页:二、两疗法差异的统计学意义分析

返回目录