| 二、不成对资料(两组或多组)的比较 | 《医学统计学》 |
二、不成对资料(两组或多组)的比较现以例10.2说明其计算步骤如下: 1.各自排列,统一编秩号。将两组数据分别从小到大排列,然后按两组数据自小至大统一给以顺序号,即为秩号。编秩号时,凡数据相等而分属于两组的,应编平均秩号,如0.042共有三个,分属于两组,其秩号应该是7、8、9,求其平均,皆给以平均秩号8。 2.求秩号的中位数MR,公式是:
3.求各组n+、n-、n0:以MR为准,大于MR的秩号个数为n+,小于MR的秩号个数为n-,相等者为n。 4.代入下式求χ2值
5.查χ2值表,作结论。 例10.2 表10.2为9名健康人和8名铅作业工人的尿铅值(mg/L)试比较两组间有无显著差别? 表10.2 9名健康人与8名铅作业工人的尿铅值(mg/L)
两组各自排队,统一编秩号,其结果见表10.2
下:
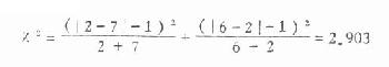
代入公式
ν=2-1=1,χ20.05,1=3.841 今χ2<χ20.05,1故P>0.05 不能拒绝检验假设,相差不显著,还不能说健康人与铅作业工人尿铅值有显著差别。 当多组资料比较时,其步骤与两组比较的一致,但计算χ2值的公式略有不同:
符号检验未充分利用原始资料中的全部信息,故比较粗,但因其简便,可迅速得到结果故也有其使用价值。
|