九、阶乘、排列与组合
1.
阶乘
[
阶乘的定义
]
设
n
为自然数,则
称为
n
的阶乘
.并且规定
0!=1.
又定义
[
斯特林公式
]
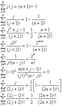
[
阶乘有限和公式
]